비교의 수 가 곧 시간이다
전 게시물까지 내린 결론은
퀵 소트의 실행 시간은 서로 다른 두 원소가 얼마나 직접적으로 비교가 되느냐에 직결된다는 것이었다.
퀵 소트의 피벗은 랜덤으로 결정된다고 가정하였으므로,
랜덤 피벗에 따라 서로 다른 두 원소가 얼마나 비교되는지가 결정된다!
비교될 확률

i~j 까지 원소들 Z_ij 가 있을 때 원소 , z_i 와 z_j 가 비교될 확률을 구해보자.
만약 피벗이 i < p < j 인 p로 설정이 된다면,
i 와 j 는 p 랑만 비교가 된 후 서로 다른 두 하위문제로 넘어가는 경우이다.
따라서 피벗이 i 혹은 j 로 설정 돼었을 때 X_ij = 1 이다.
따라서 Pr{z_i is compared to zj} = 2 / j-i+1 (i~j 까지의 개수) 이다.
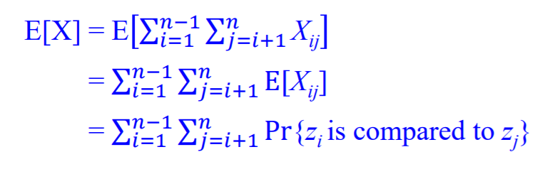
최종 비교시간 계산

이를 이제 식으로 계산해보면 다음과 같은 결과를 얻을 수 있다.
따라서, Quicksort 의 실질적인 기대시간은 O(n2) 가 아니라 O(nlgn) 이라 생각해도 되는 것이다!!
* 뿐만아니라 Quicksort는 메모리적인 측면에서도 강점을 가진다.

* 참고 : 고려대학교 정순영 교수님 알고리즘 강의
728x90
'컴퓨터 지식 > 알고리즘' 카테고리의 다른 글
| [알고리즘] Minimal Spanning Tree 와 그리디 알고리즘 (0) | 2019.11.19 |
|---|---|
| [알고리즘] 허프만 코드와 그리디 알고리즘 / Huffman code and greedy algorithm (0) | 2019.11.14 |
| [알고리즘] Greedy strategy / 그리디 알고리즘 전략, 구성 (0) | 2019.11.12 |
| [알고리즘] Activity-selection-problem / 그리디 알고리즘 (0) | 2019.11.12 |
| [알고리즘] Greedy Algorithm 이란? (0) | 2019.11.07 |
댓글